《名家專欄》傳統顯示技術的光色測量手段
在前兩個專題中我們講述了光色測量原理,顯示技術的發展歷史和未來發展,這次我們再來簡單討論一下傳統顯示技術的光色測量手段。
在“光色測量原理”一文中,我們知道基于各種顯示技術所開發的顯示器件的重要作用就是對“周圍信息”的重現。既然是信息的重現,那么就會涉及到重現信息與源信息的吻合程度的測量和評價。評價的主體是人眼(標準觀察者),以人眼的視覺感受為評價基準。然而對于顯示器件制造商而言,需要將人眼的主觀評價標準轉換為用儀器設備測量的客觀標準,以便滿足大規模生產的需求。
另外一方面,由于顯示技術的不斷更新和人們對顯示質量要求的不斷提高,提出的評價指標也越來越多,相應的測量方法也不斷增加,對應的測量手段(設備)的要求也越來越多。在眾多的評價指標中,我們最關心的指標有亮度相關指標、色度相關指標、視角、分辨率、響應時間。
亮度相關指標包括:亮度、亮度均勻性。亮度是指畫面的明亮程度,而亮度均勻性是指顯示屏上可尋址范圍內所有像素的亮度一致的程度。
色度相關指標包括:色度、色度均勻性。色度(chromaticity)是一個用來評價色質刺激的指標,其值由色度坐標或主波長(或補色波長)和純度確定。色度不僅包括色調(hue),還包括飽和度(saturation)。
灰階:顯示屏的畫面是由多個像素點組成,每個像素點所能呈現的從黑到白的過渡等級數量就是灰階。色階是一個與灰階相關的指標。
視角:是指人眼可以清晰分辨顯示屏顯示的畫面所顯示信息的觀察角度。
分辨率:顯示屏的分辨率本來應該是“人眼”所能分辨顯示屏上所顯示信息的能力。但是由于這個指標過于復雜,所以通常僅指顯示屏的物理分辨率,即組成屏幕有效顯示區域的像素點數。
響應時間:是指一個顯示屏從接收輸入控制訊號到輸出畫面之間所花費的時間。
上述這些指標有大量測量方法,這方面可以參考《信息顯示測量標準》以及國內外相關的國家標準和行業標準,我們在這里就不再贅述了。這里我們主要討論測量亮度和色度所用到的測量設備的原理。
根據測量面積的大小對測量設備進行分類可以分為點測量設備和面測量設備;根據測量原理的不同,可以將測量設備分為:①分光輻射度計(Spectroradiometer);②濾光片式亮度計。
亮度色度計是用于測量光源發射出的380~780nm的能量。因為儀器是瞄準光源測量亮度,所以必須要明確測量視場角和孔徑角。


圖1 與測量相關的變量
首先,能對LMD測量產生貢獻的、來自每個像素的所有光線必須落在一個頂角不大于2°的圓錐內,即聚焦于無窮遠的視場角必須不大于2°;
其次,來自測量像素中心的所有光線與觀察方向的夾角必須不大于2°,即顯示屏中心對LMD鏡頭的張角(孔徑角)也必須不大于2°。
對于光源而言,人們往往希望其是朗伯輻射體,然而實際上,幾乎所有的光源都不是朗伯輻射體(Lambert radiator)。為了避免測量到微小角度偏差而測量到不希望的光線,同時也為了方便對測量結果進行溝通和交流,所以才需要明確測量時的視場角、孔徑角和探測器與光源的相對位置等變量的數值。

圖2 光源亮度定義
光度學的亮度定義如圖2所示,對應朗伯光型的光源在θ角方向亮度為:
式中,Lθ為θ方向上測量的亮度值,單位cd/m2。可見,任意方向的Lθ=I0/ds為一定值,故人眼在任意方向觀看朗伯光源時,所感知的亮度是相同的,即所謂朗伯光源是各向同性光源。

圖3 亮度計的結構原理
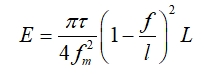
根據圖1,利用光度學和幾何光學的原理可以推出:
式中E為成像面上的照度;L為發光面上的亮度;τ為光學系統的透過率;f為透鏡焦距;l為透鏡與發光面的距離(稱為測量距離);fm為系統的相對孔徑,且有fm=f/D,其中D為孔徑直徑。
當系統的設計能使f/l小到可忽略不計時(在某誤差范圍內),發光體的亮度L與成像面照度E呈線性關系(這也是上面張角不大于2°的來源)。
光源的色度用色品坐標x,y表示,與光源的相對光譜功率分布有關。

圖4 CIE 1931色匹配函數
光源的三刺激值可用公式(3)(4)(5)表示:
P(λ)是光源的校正后的光譜數據(相對功率分布函數),X
(λ)、Y(λ)、Z(λ)代表CIE 1931標準光譜三刺激值函數(或色匹配函數),如圖2所示,其中,X(λ)是紅色、Y(λ)是綠色、Z(λ)是藍色。683是可將流明轉換成瓦的一個常數。dλ是光譜增量(對于PR-655的增量是4nm,PR-670的增量是2nm,PR-788的增量是1nm)。得出這三個三刺激值表達后,色品坐標(如CIE 1931 x,y和1976 u’,v’)可以用公式(6)(7)計算:
在《光色測量原理》一文中,我們詳細介紹了“光度學”和“色度學”的基本概念,以及色坐標的計算方法(假設:任何顏色都可由三基色適當混合匹配獲得,三基色一般為紅、綠、藍三種顏色。一旦三基色的單位被定量,那么匹配一種特定顏色所需的三基色量的倍率就稱為光的三刺激值)。
測量亮度、色度的基礎是要獲得被測量光源的光譜圖。下面我們簡單介紹一下2種用于獲得光譜數據的設備的基本原理,分光輻射度計和濾光片式亮度計。
分光輻射度計的功能是對光源進行光譜分析(不同波長的光能量分布圖),即每一個波長位置光強。它與光譜儀的原理相同,也是基于空間色散原理。

圖5 分光輻射度計的基本結構
分光輻射度計不僅能測量輻射度值或光度值,還可以測量色度值。這種儀器測量光源的輻射光譜,并計算得到所需的參數,例如色度或亮度。
分光輻射度計系統的基本組件如下:
- 前端光學元件(Input optics):用于收集來自光源的電磁輻射;
- 單色器(Monochromator):為了對光源進行光譜分析,需要用每個波長的單色光來創建光源的光譜響應。單色器用于對光源進行波長采樣,并產生單色信號。它本質上是一個可變濾光片,從被測光的整個光譜中選擇性地分離和傳輸特定波長或波段,并濾除落在該區域之外的任何光;
- 探測器(Detectors):;
- 控制和記錄系統(Control and logging system):
前端光學元件(front-end optics)包括透鏡、漫射器和濾光片,它們對首次進入系統的光進行修改。對于輻射亮度的測量,需要具有窄視場的光學元件。對于總光通量的測量,需要一個積分球。對于輻照度的測量,需要余弦校正光學元件。這些元件所使用的材料決定了能夠測量的光類型。例如,為了測量紫外光,通常使用石英而不是玻璃透鏡、光纖、特氟龍漫射器(Teflon diffusers)和硫酸鋇涂層積分球來確保準確的紫外測量。
單色器是分光輻射亮度的核心器件,其基本結構如圖6所示。

圖6 分單色器的基本結構
A為入射光,B為光學狹縫,C為準直柱面反射鏡,D為可轉動衍射光柵,
E為匯聚鏡,F為出射光學狹縫,G為出射光,H為匯聚鏡,I為探測器。
一個典型的單色器由入射狹縫、出射狹縫、準直鏡和聚焦光學元件、以及波長色散元件(如衍射光柵或棱鏡)組成。現代單色器是用衍射光柵制造的,而衍射光柵幾乎只用于光譜輻射測量。衍射光柵因其多功能性、低衰減、寬波長范圍、較低的成本和更恒定的色散而更受歡迎。根據應用,可以使用單光柵或雙光柵,由于光柵之間額外的色散和阻隔,雙光柵通常能夠提供更高的精度。
入射狹縫決定了進入單色器的光的多少。狹縫越小,分辨率越高,但整體靈敏度越低。衍射級次過濾器用于減少光柵衍射的高級衍射光。準直器將光線準直到光柵或棱鏡。無論是使用光柵分光,還是用棱鏡分光,儀器測得的光源數據都是一致的。光柵或棱鏡用于入射光的色散。匯聚光學元件將光線匯聚到探測器(光電倍增管、CMOS傳感器或CCD陣列)上。控制和日志系統用于定義和存儲數據。
探測器類型取決于所測量的光的波長、所需的動態范圍和靈敏度。常規的分光輻射度計的探測器可分為三種類型:光發射探測器(例如,光電倍增管)、半導體器件(例如,硅)或熱探測器(例如,熱電堆)。
給定探測器的光譜響應由其核心材料決定。例如,光電倍增管中的光電陰極面可以由某些元素制造,避開對日光的響應——主要是對紫外光敏感,而對可見光或紅外光無響應。CCD(電荷耦合器件)和CMOS傳感器通常是由數千或數百萬個單獨的探測器元件(也稱為像素)組成的一維(線性)或二維(面)陣列。它們包括一個基于硅或 InGaAs 的多通道陣列探測器,能夠測量紫外光、可見光和近紅外光。CMOS(互補金屬氧化物半導體)傳感器與 CCD 的不同之處在于,它們為每個光電二極管添加了一個放大器。這被稱為有源像素傳感器,因為放大器是像素的一部分。晶體管開關在讀出時將每個光電二極管與像素內的放大器連接。
日志記錄系統通常是一臺個人計算機。在初始信號處理中,通常需要對信號進行放大和轉換,以便與控制系統一起使用。應優化單色器、探測器輸出和計算機之間的通信,以確保使用所需的指標和功能達到要求。光譜輻射測量系統附帶的市售軟件通常帶有有用的參考函數,用于進一步計算測量,例如,CIE顏色匹配函數和V(λ)曲線。
CIE V(λ)曲線和CIE顏色匹配函數是以數據形式存儲在儀器中,并用來處理從待測光源處測量到的光譜能量分布數據。因此,相比于光度計和三刺激測色計,分光輻射度計不存在由于傳感器敏感度匹配不好而引起的測量誤差。
分光輻射度計在出廠時,會用相應的校準系數校準光譜數據,校正系數包括波長精確度修正、光譜分布修正和光度修正。波長校準采用的是具有特征光譜的氦燈光源,線光源提供了已知的光譜發射譜線通過光柵分光后投射到多探測器上再通過軟件顯示;用于波長校準的氦譜線包括388.6nm,447.1 nm,471.3 nm,587.6 nm,667.8 nm,706.5 nm和728.13 nm;
接下來,可用光譜校準系數校準這些數據;這些校準系數確保被測目標光譜能量分布(SPD)和由此計算出的數據比如CIE色度值經過了正確的溯源。最后,校準系數(光度系數)確保光度測試結果的準確性,如亮度或照度。
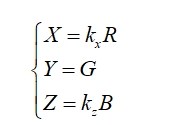
濾光片式彩色亮度計的色度測量功能的實現,是通過用合適的濾光片模擬人眼對光的響應,從而使加濾光片以后的圖像傳感器的相對光譜響應度與CIE 1931標準色度觀察者色匹配函數相接近。其測色原理如下:
X如果濾光片與圖像傳感器組合后,它們的光譜響應為
(λ)、Y(λ)、Z(λ)的3個探測器,那么得到的三刺激值為:
式中,kx、kz為色校準系數;R、G、B是儀器相應各探測器的輸出值。
圖7是具有旋轉濾光片輪的高級濾光片式色度計的詳細圖示。在濾光片輪的每個位置包含一個紅色、綠色或藍色的色度濾光片。通過每個濾光片進行順序測量以獲得CIE三刺激值X,Y和Z。該口徑的色度計配有手動匹配的CCIE濾光片。即便如此,濾光片式亮度計也沒有光譜式亮度計的精度高。

圖7 濾光片式亮度計的結構
濾光片式亮度計由以下幾部分組成:
- 光收集器件:根據應用不同,可以是一個鏡頭,接觸式探頭或者是積分球。
- 三色濾光片:紅(兩片X/red和X /blue)、綠(Y)、藍(Z)濾光片,通常的結構為層壓(多層)或薄膜沉積。。
- 圖像傳感器:一種將光信號轉換為電信號的光敏感裝置。色度計可以包含三個或更多的探測器。探測器通常是PMT(光電倍增管的)或硅光電二極管。濾光片和圖像傳感器共同的作用,使其對光譜的響應與CIE三刺激值函數相匹配。圖8示意性說明通過修改圖像傳感器的光譜響應曲線(通過調整濾光片相應波長的光透過率實現),使圖像傳感器對入射光的響應曲線與CIE色度測量所需的三色激勵函數曲線匹配。

圖8 典型的硅光電二極管響應曲線
- 控制和記錄系統:作用與3.4節的描述相同。用圖像傳感器輸出的幾組灰度值計算出屏幕各點的亮度和色坐標。
- 校正:濾光片式亮度計在出廠前也會經過一些列校正,以確保所測量的亮度和色度指標與真值的誤差在可接受范圍內。
通過對2種用于獲得光譜數據的設備的基本原理介紹,給出了傳統顯示技術的光色測量手段。兩種測量設備各有優缺點。光譜式亮度計測量精度高,可以提供光譜功率分布,但是速度相對緩慢,適合LCD\ OLED\ Mini-LED\ Micro-LED\ 硅基OLED研發等領域;濾片式亮度計測量速度快,但是精度差(濾光片匹配誤差所導致的不準確性),適合背光模組,產線上Flicker以及響應時間測試。
https://zhuanlan.zhihu.com/p/680930911
https://www.konicaminolta.com.cn/instruments/knowledge/light/instrumentation/09.html
https://en.wikipedia.org/wiki/Spectroradiometer
https://zhuanlan.zhihu.com/p/559729487
http://m.wxsanshi.com.cn/show/105/103.html
張雪靜.兩種不同類型的濾光片式彩色亮度計性能比較,[J],2013,28(1):147-148.
苗丹.基于成像光譜儀的顯示屏亮色度參數測量系統定標與軟件設計.[碩士學位論文].武漢.華中科技大學.2022.
人物介紹
高彬 ,在某軍工企業工作了8年,長期從事加固顯示方面的研究,參與了十多個型號的加固顯示屏的研發。同時,在機載加固顯示的光電測量方面也有著豐富的經驗。翻譯并出版了《OLED顯示概論》和《信息顯示測量》兩本書籍。
免責說明
所發布內容(含圖片)來源于原作者提供或原文授權轉載。文 章版權、數據及所述觀點歸原作者原出處所有,發布及轉載目的在于傳遞 更多信息及用于網絡分享。
如果您認為本文存在侵權之處,請與我們聯系,會第一時間及時處理。我們力求數據嚴謹準確, 如有任何疑問,敬請讀者不吝賜教。我們也熱忱歡迎您投稿并發表您的觀點和見解。
































































































13810233784
在線咨詢
